All the images in this article are made by me :)
From basic traversals to complex dynamic programming solutions trees can be found everywhere, yes even in your interviews π. Here is a guide to know all about what tress are, types of trees and the common questions.
What is a Tree?
Its it a hierarchical, non-linear data structure that consists of nodes connected by edges and it doesn't contain any cycles! Otherwise, it would become a proper graph. (Tree is still a graph just with no cycles!). They resemble the natural trees we look at. Even though I think many programmers don't look at trees that oftenβ¦
Common Tree Terminologies:
Node: Building block of a tree. Each node contains data and references (or pointers) to its child nodes.
Root: The topmost node in the tree. Every tree has exactly one root and is called a Rooted tree.
Edge: The connection between two nodes.
Child: A node that is a descendant of another node or parent.
Parent: A node that has children.
Leaf: A node that has no children.
Subtree: A tree formed within a tree but with a different root.
Depth: The number of edges from root to the node.
Height: The number of edges from the node to the deepest leaf.
Types of Trees:
Binary Tree: (Our most commonly used tree along with BSTs) Each node has at most 2 children, left and right.

Binary Search Tree (BST): A binary tree but with the additional property that the left subtree of a node contains only nodes with values less than the node's value and the right subtree contains nodes with values greater that the node's value.

Balanced Trees: These are a type of trees that ensure that the tree height (optimally β€ 1) is kept low to maintain efficient operations like search, insertion and deletions. AVL trees maintain a STRICT balance, while Red Black are a little relaxed.

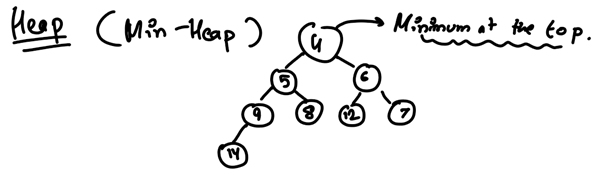
Heap: A special binary tree used to implement Priority Queues, heaps are Min-heap or Max-heap, where the root node is minimum or maximum.

Trie (Prefix Tree): A tree used to store strings where each node represents a character of the string. It's useful for fast lookups, autocomplete feature (yes really) and dictionary type problems.

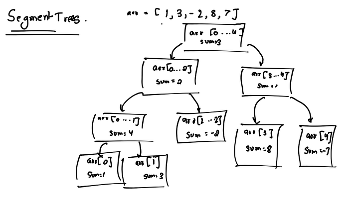
Segment Tree: Used to store intervals or segments. (Used in range problems)
Example taken from -> Segment Tree β Algorithms for Competitive Programming
N-ary Tree: Trees with n children. Like Trie can be a 26-ary Tree.
Tree Traversal Algorithms:
Pre-order Traversal (Root -> Left -> Right):

In-order Traversal (Left -> Root -> Right):

Post-order Traversal (Left -> Right -> Root):

Level-order Traversal (Breadth-First-Search):

In this Article, I will discuss everything to know about Binary Search Treesβ¦ For the rest of the tree versions, I will make more Articles π!
Binary Tree
A binary tree is a hierarchical data structure in which each node has at most two children. These children are referred to as the left child and the right child.
Key Properties
- Maximum Number of Nodes at Level 'L': A binary tree at level 'L' can have a maximum of 2^L nodes.
- Maximum Number of Nodes in a Binary Tree with Height 'h': The maximum number of nodes in a binary tree is 2^(h+1) β 1, where h is the height of the tree.
- Minimum Height of a Binary Tree with 'n' Nodes: The minimum height of a binary tree with 'n' nodes is log_2(n+1)β1.
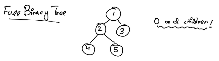
- Full Binary Tree: Every node has either 0 or 2 children.

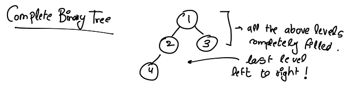
- Complete Binary Tree: All levels are fully filled except for possibly the last level, which is filled from left to right.

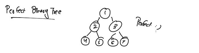
- Perfect Binary Tree: All internal nodes have two children, and all leaves are at the same level.

- Balanced Binary Tree: The difference between the heights of the left and right subtrees of any node is not more than 1. A balanced tree ensures
O(log n)time complexity for a few operations. Without balancing, a binary tree can degrade to a linked list, leading toO(n)operations. - Degenerate Tree (Skewed Tree): A tree where each parent has only one child, resembling a linked list.
Applications of Binary Trees
- BSTs
- Heaps (Binary heaps)
- Expression Trees
- Huffman Trees
- Tries
- Decision Trees
and more..
Construction of a Binary Tree
class TreeNode
{
int data;
TreeNode left;
TreeNode right;
TreeNode(int data)
{
this.data = data;
this.left = null;
this.right = null;
}
}
public class BinaryTree
{
public static void main(String[] args) {
TreeNode root = new TreeNode(1);
root.left = new TreeNode(2);
root.right = new TreeNode(3);
root.left.left = new TreeNode(4);
root.left.right = new TreeNode(5);
root.right.left = new TreeNode(6);
root.right.right = new TreeNode(7);
System.out.println("Preorder traversal of binary tree is ");
preorder(root);
System.out.println("Inorder traversal of binary tree is ");
inorder(root);
System.out.println("Postorder traversal of binary tree is ");
postorder(root);
}
public static void inorder(TreeNode root)
{
if(root == null) return;
inorder(root.left);
System.out.println(root.data);
inorder(root.right);
}
public static void preorder(TreeNode root)
{
if(root == null) return;
System.out.println(root.data);
preorder(root.left);
preorder(root.right);
}
public static void postorder(TreeNode root)
{
if(root == null) return;
postorder(root.left);
postorder(root.right);
System.out.println(root.data);
}
}Common Interview Questions
Invert Binary Tree β LeetCode
TreeNode invertTree(TreeNode node) {
if (node == null) return null;
TreeNode temp = node.left;
node.left = node.right;
node.right = temp;
invertTree(node.left);
invertTree(node.right);
return node;
}Balanced Binary Tree β LeetCode
boolean isBalanced(TreeNode node) {
return height(node) != -1;
}
int height(TreeNode node) {
if (node == null) return 0;
int left = height(node.left);
int right = height(node.right);
if (left == -1 || right == -1 || Math.abs(left - right) > 1) return -1;
return Math.max(left, right) + 1;
}Diameter of Binary Tree β LeetCode
int diameter(TreeNode root) {
int[] maxDiameter = new int[1];
height(root, maxDiameter);
return maxDiameter[0];
}
int height(TreeNode node, int[] maxDiameter) {
if (node == null) return 0;
int left = height(node.left, maxDiameter);
int right = height(node.right, maxDiameter);
maxDiameter[0] = Math.max(maxDiameter[0], left + right);
return Math.max(left, right) + 1;
}Maximum Depth of Binary Tree β LeetCode
int maxDepth(TreeNode node) {
if (node == null) return 0;
return Math.max(maxDepth(node.left), maxDepth(node.right)) + 1;
}Same Tree β LeetCode
boolean isSameTree(TreeNode p, TreeNode q) {
if (p == null && q == null) return true;
if (p == null || q == null || p.val != q.val) return false;
return isSameTree(p.left, q.left) && isSameTree(p.right, q.right);
}Symmetric Tree β LeetCode
boolean isSameTree(TreeNode p, TreeNode q) {
if (p == null && q == null) return true;
if (p == null || q == null || p.val != q.val) return false;
return isSameTree(p.left, q.left) && isSameTree(p.right, q.right);
}Subtree of Another Tree β LeetCode
boolean isSubtree(TreeNode s, TreeNode t) {
if (s == null) return false;
if (isSameTree(s, t)) return true;
return isSubtree(s.left, t) || isSubtree(s.right, t);
}Binary Tree Level Order Traversal β LeetCode
List<List<Integer>> levelOrder(TreeNode root) {
List<List<Integer>> result = new ArrayList<>();
if (root == null) return result;
Queue<TreeNode> queue = new LinkedList<>();
queue.add(root);
while (!queue.isEmpty()) {
int size = queue.size();
List<Integer> level = new ArrayList<>();
for (int i = 0; i < size; i++) {
TreeNode node = queue.poll();
level.add(node.val);
if (node.left != null) queue.add(node.left);
if (node.right != null) queue.add(node.right);
}
result.add(level);
}
return result;
}Lowest Common Ancestor of a Binary Tree β LeetCode
TreeNode lowestCommonAncestor(TreeNode root, TreeNode p, TreeNode q) {
if (root == null || root == p || root == q) return root;
TreeNode left = lowestCommonAncestor(root.left, p, q);
TreeNode right = lowestCommonAncestor(root.right, p, q);
if (left != null && right != null) return root;
return left != null ? left : right;
}Binary Tree Right Side View β LeetCode
List<Integer> rightSideView(TreeNode root) {
List<Integer> result = new ArrayList<>();
if (root == null) return result;
Queue<TreeNode> queue = new LinkedList<>();
queue.add(root);
while (!queue.isEmpty()) {
int size = queue.size();
for (int i = 0; i < size; i++) {
TreeNode node = queue.poll();
if (i == size - 1) result.add(node.val);
if (node.left != null) queue.add(node.left);
if (node.right != null) queue.add(node.right);
}
}
return result;
}Construct Binary Tree from Preorder and Inorder Traversal β LeetCode
TreeNode buildTree(int[] preorder, int[] inorder) {
return build(preorder, inorder, 0, 0, inorder.length - 1);
}
TreeNode build(int[] preorder, int[] inorder, int preStart, int inStart, int inEnd) {
if (preStart >= preorder.length || inStart > inEnd) return null;
TreeNode root = new TreeNode(preorder[preStart]);
int inIndex = 0;
for (int i = inStart; i <= inEnd; i++) {
if (inorder[i] == root.val) inIndex = i;
}
root.left = build(preorder, inorder, preStart + 1, inStart, inIndex - 1);
root.right = build(preorder, inorder, preStart + inIndex - inStart + 1, inIndex + 1, inEnd);
return root;
}Path Sum II β LeetCode
List<List<Integer>> pathSum(TreeNode root, int targetSum) {
List<List<Integer>> result = new ArrayList<>();
dfs(root, targetSum, new ArrayList<>(), result);
return result;
}
void dfs(TreeNode node, int target, List<Integer> path, List<List<Integer>> result) {
if (node == null) return;
path.add(node.val);
if (node.left == null && node.right == null && node.val == target) {
result.add(new ArrayList<>(path));
} else {
dfs(node.left, target - node.val, path, result);
dfs(node.right, target - node.val, path, result);
}
path.remove(path.size() - 1);
}Maximum Width of Binary Tree β LeetCode
int widthOfBinaryTree(TreeNode root) {
if (root == null) return 0;
Queue<Pair<TreeNode, Integer>> queue = new LinkedList<>();
queue.add(new Pair<>(root, 0));
int maxWidth = 0;
while (!queue.isEmpty()) {
int size = queue.size();
int min = queue.peek().getValue();
int first = 0, last = 0;
for (int i = 0; i < size; i++) {
Pair<TreeNode, Integer> pair = queue.poll();
TreeNode node = pair.getKey();
int index = pair.getValue() - min;
if (i == 0) first = index;
if (i == size - 1) last = index;
if (node.left != null) queue.add(new Pair<>(node.left, 2 * index));
if (node.right != null) queue.add(new Pair<>(node.right, 2 * index + 1));
}
maxWidth = Math.max(maxWidth, last - first + 1);
}
return maxWidth;
}Binary Tree Zigzag Level Order Traversal β LeetCode
List<List<Integer>> zigzagLevelOrder(TreeNode root) {
List<List<Integer>> result = new ArrayList<>();
if (root == null) return result;
Queue<TreeNode> queue = new LinkedList<>();
queue.add(root);
boolean leftToRight = true;
while (!queue.isEmpty()) {
int size = queue.size();
LinkedList<Integer> level = new LinkedList<>();
for (int i = 0; i < size; i++) {
TreeNode node = queue.poll();
if (leftToRight) {
level.addLast(node.val);
} else {
level.addFirst(node.val);
}
if (node.left != null) queue.add(node.left);
if (node.right != null) queue.add(node.right);
}
result.add(level);
leftToRight = !leftToRight;
}
return result;
}Path Sum III β LeetCode
int pathSum(TreeNode root, int targetSum) {
if (root == null) return 0;
return countPaths(root, targetSum) + pathSum(root.left, targetSum) + pathSum(root.right, targetSum);
}
int countPaths(TreeNode node, int target) {
if (node == null) return 0;
int count = (node.val == target ? 1 : 0);
count += countPaths(node.left, target - node.val);
count += countPaths(node.right, target - node.val);
return count;
}All Nodes Distance K in Binary Tree β LeetCode
List<Integer> distanceK(TreeNode root, TreeNode target, int K) {
Map<TreeNode, TreeNode> parentMap = new HashMap<>();
findParents(root, null, parentMap);
return findKDistanceNodes(target, K, parentMap);
}
void findParents(TreeNode node, TreeNode parent, Map<TreeNode, TreeNode> parentMap) {
if (node != null) {
parentMap.put(node, parent);
findParents(node.left, node, parentMap);
findParents(node.right, node, parentMap);
}
}
List<Integer> findKDistanceNodes(TreeNode target, int K, Map<TreeNode, TreeNode> parentMap) {
List<Integer> result = new ArrayList<>();
Set<TreeNode> visited = new HashSet<>();
Queue<TreeNode> queue = new LinkedList<>();
queue.add(target);
visited.add(target);
int currentLevel = 0;
while (!queue.isEmpty()) {
int size = queue.size();
if (currentLevel == K) {
for (TreeNode node : queue) result.add(node.val);
return result;
}
for (int i = 0; i < size; i++) {
TreeNode node = queue.poll();
if (node.left != null && visited.add(node.left)) queue.add(node.left);
if (node.right != null && visited.add(node.right)) queue.add(node.right);
TreeNode parent = parentMap.get(node);
if (parent != null && visited.add(parent)) queue.add(parent);
}
currentLevel++;
}
return result;
}Serialize and Deserialize Binary Tree β LeetCode
// Serialize
String serialize(TreeNode root) {
if (root == null) return "null,";
return root.val + "," + serialize(root.left) + serialize(root.right);
}
// Deserialize
TreeNode deserialize(String data) {
Queue<String> nodes = new LinkedList<>(Arrays.asList(data.split(",")));
return buildTree(nodes);
}
TreeNode buildTree(Queue<String> nodes) {
String val = nodes.poll();
if (val.equals("null")) return null;
TreeNode node = new TreeNode(Integer.parseInt(val));
node.left = buildTree(nodes);
node.right = buildTree(nodes);
return node;
}Binary Tree Maximum Path Sum β LeetCode
int maxPathSum(TreeNode root) {
int[] maxSum = new int[1];
maxSum[0] = Integer.MIN_VALUE;
findMax(root, maxSum);
return maxSum[0];
}
int findMax(TreeNode node, int[] maxSum) {
if (node == null) return 0;
int left = Math.max(0, findMax(node.left, maxSum));
int right = Math.max(0, findMax(node.right, maxSum));
maxSum[0] = Math.max(maxSum[0], node.val + left + right);
return node.val + Math.max(left, right);
}All these questions can be found in Grind75 as well :)!
More articles to know deeper about Trees coming soon! Till then, Happy Diwali!
Love you all,
Harshpreet Singh